三乗根 分母 積分



Xカケル三乗根 X 1 の積分ってどうすればいいのでしょうか また X Yahoo 知恵袋

Xカケル三乗根 X 1 の積分ってどうすればいいのでしょうか また X Yahoo 知恵袋

高校数学 無理関数の積分2パターン 分母の有理化と根号丸ごと置換 受験の月

高校数学 無理関数の積分2パターン 分母の有理化と根号丸ごと置換 受験の月

関数y 3 x 3 3乗根 について 次の問いに答えよ 2 数学 教えて Goo

関数y 3 x 3 3乗根 について 次の問いに答えよ 2 数学 教えて Goo

x三乗根 xの積分がわかりません Dx略与式 X X 1 3 Yahoo 知恵袋

x三乗根 xの積分がわかりません Dx略与式 X X 1 3 Yahoo 知恵袋

平方根内が2次式である関数の不定積分 身勝手な主張

平方根内が2次式である関数の不定積分 身勝手な主張

不定積分あってますか の方三乗根なのでルートの中はx 2かと思い Yahoo 知恵袋

不定積分あってますか の方三乗根なのでルートの中はx 2かと思い Yahoo 知恵袋

不定積分あってますか の方三乗根なのでルートの中はx 2かと思い Yahoo 知恵袋

不定積分ですが ルートと分数が混ざると急にやり方が分からなくなりま 高校 教えて Goo

不定積分ですが ルートと分数が混ざると急にやり方が分からなくなりま 高校 教えて Goo

平方根内が2次式である関数の不定積分 身勝手な主張

平方根内が2次式である関数の不定積分 身勝手な主張

累乗根 計算 3乗根 1 4を 3乗根 2 2 3 に計算がわかりません 教 数学 教えて Goo

累乗根 計算 3乗根 1 4を 3乗根 2 2 3 に計算がわかりません 教 数学 教えて Goo

演習5 5の 5 がわからないので教えてください 答えは9で 高校数学に関する質問 勉強質問サイト

演習5 5の 5 がわからないので教えてください 答えは9で 高校数学に関する質問 勉強質問サイト

高校数学 絶対値付き関数の定積分 受験の月

高校数学 絶対値付き関数の定積分 受験の月

積分 高校数学に関する質問 勉強質問サイト

積分 高校数学に関する質問 勉強質問サイト

累乗根 計算 3乗根 1 4を 3乗根 2 2 3 に計算がわかりません 教 数学 教えて Goo

累乗根 計算 3乗根 1 4を 3乗根 2 2 3 に計算がわかりません 教 数学 教えて Goo

分母が三乗根の有理化の仕方がわかりません 写真の問題の解法を教 Yahoo 知恵袋

分母が三乗根の有理化の仕方がわかりません 写真の問題の解法を教 Yahoo 知恵袋

高校数学 部分積分 指数関数 三角関数 型 受験の月

高校数学 部分積分 指数関数 三角関数 型 受験の月

不定積分 高校数学に関する質問 勉強質問サイト

不定積分 高校数学に関する質問 勉強質問サイト

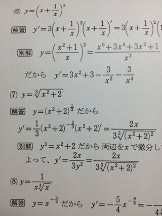
Y X 2 2 の3乗根の微分の方法を教えてください途中式は画 Yahoo 知恵袋

Y X 2 2 の3乗根の微分の方法を教えてください途中式は画 Yahoo 知恵袋

高校数学 分数関数 有理関数 の積分2パターン 分子の次数下げと部分分数分解 受験の月

高校数学 分数関数 有理関数 の積分2パターン 分子の次数下げと部分分数分解 受験の月

通院 と 置換積分のうちx 2 A 2にまつわる積分公式 泣 よこしまちゃんのへなちょこ日記

通院 と 置換積分のうちx 2 A 2にまつわる積分公式 泣 よこしまちゃんのへなちょこ日記

不定積分 高校数学に関する質問 勉強質問サイト

不定積分 高校数学に関する質問 勉強質問サイト

2019年 東大数学 理系第1問 定積分 置換 計算力 東大合格 敬天塾

2019年 東大数学 理系第1問 定積分 置換 計算力 東大合格 敬天塾

2つの解法 3乗根の有理化 数学ii 指数関数と対数関数 Youtube

2つの解法 3乗根の有理化 数学ii 指数関数と対数関数 Youtube

高校数学 定積分で表された関数の極限 Lim1 X A F T Dt 受験の月

高校数学 定積分で表された関数の極限 Lim1 X A F T Dt 受験の月

379 5 積分 高校数学に関する質問 勉強質問サイト

379 5 積分 高校数学に関する質問 勉強質問サイト

Source : pinterest.com